Forex technical analysis and forecast: Majors, equities and commodities

EUR/USD, “Euro vs US Dollar”
EUR/USD has broken the upper boundary of the consolidation range, offering the market an extension of the wave to 1.0928. Next, a link of decline to 1.0893 is not excluded, followed by a rise to 1.0960. After the price reaches this level, a decline wave to 1.0823 could start.
GBP/USD, “Great Britain Pound vs US Dollar”
GBP/USD has broken the upper boundary of the consolidation range, offering the market a link of growth to 1.2505. Next, a link of decline to 1.2455 is not excluded, followed by a rise to 1.2537. After the price hits this level, a new decline wave to 1.2374 could begin.
USD/JPY, “US Dollar vs Japanese Yen”
USD/JPY continues developing a decline wave to 148.68. After the price reaches this level, a link of growth to 150.05 is not excluded. Next, a new decline movement to 148.22 could develop.
USD/CHF, “US Dollar vs Swiss Franc”
USD/CHF has broken the lower boundary of the consolidation range, offering the market a decline to 0.8826. Next, a rise to 0.8853 might follow, after which a decline link to 0.8807 will not be excluded. Upon reaching this level, the price could develop a new growth wave to 0.9012.
AUD/USD, “Australian Dollar vs US Dollar”
AUD/USD has broken the upper boundary of the consolidation range, offering the market another growth movement to 0.6561. Upon reaching this level, the price could start a decline wave to 0.6450.
Brent
Brent continues developing a growth wave to 82.25. Upon reaching this level, the quotes might correct to 79.25. When the correction is over, a new growth wave to 85.33 might start. This is a local target.
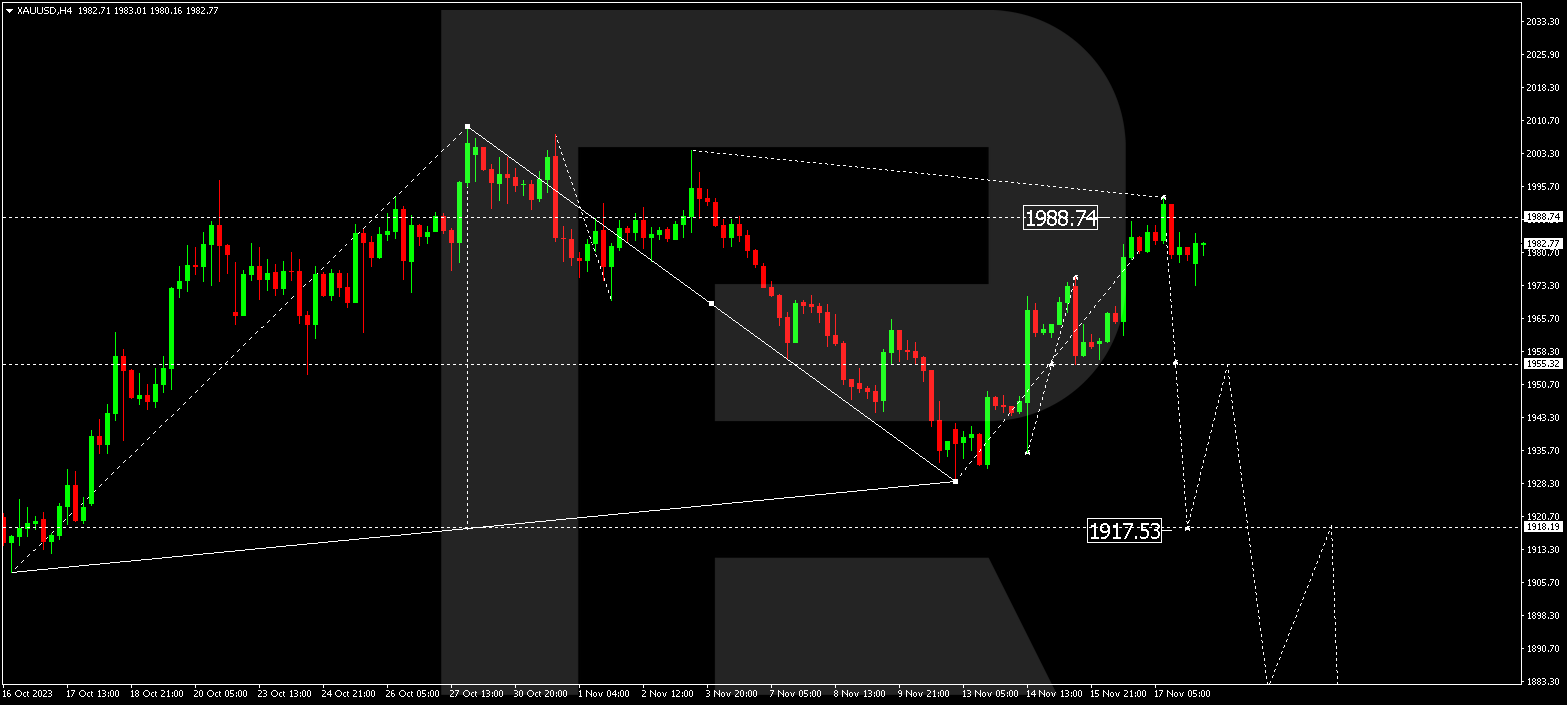
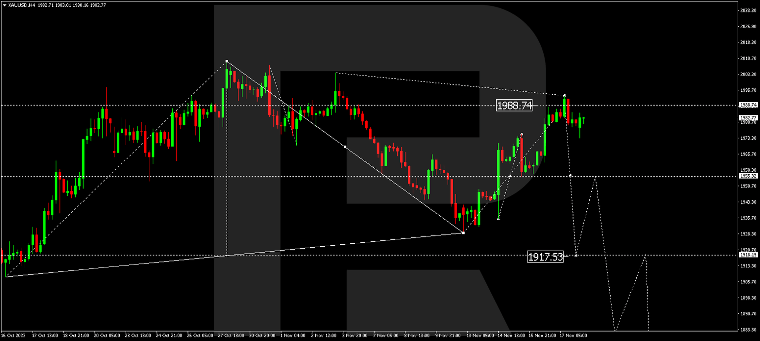
XAU/USD, “Gold vs US Dollar”
Gold has completed a growth wave to 1992.80. A decline link to 1955.33 is expected today. With a breakout of this level, the potential for a decline wave to 1917.55 could open. This is a local target.
S&P 500
The stock index continues forming a consolidation range around 4510.0. The price could extend the range to 4530.0, subsequently falling to 4487.7. A breakout of this level might open the potential for a wave to 4447.0. This is a local target.
Author

RoboForex Team
RoboForex
RoboForex Team is a group of professional financial experts with high experience on financial market, whose main purpose is to provide traders with quality and up-to-date market information.

























