Forex technical analysis and forecast: Majors, equities and commodities

EUR/USD, “Euro vs US Dollar”
The currency pair has completed a wave of correction to the 1.0745 level. Today the market is forming a structure of another wave of decline. At the moment, a consolidation range has been formed around the 1.0703 level. A breakout downwards to the 1.0673 level is expected. Next, a technical test from below 1.0700 is possible, followed by a decline to the 1.0660 level.
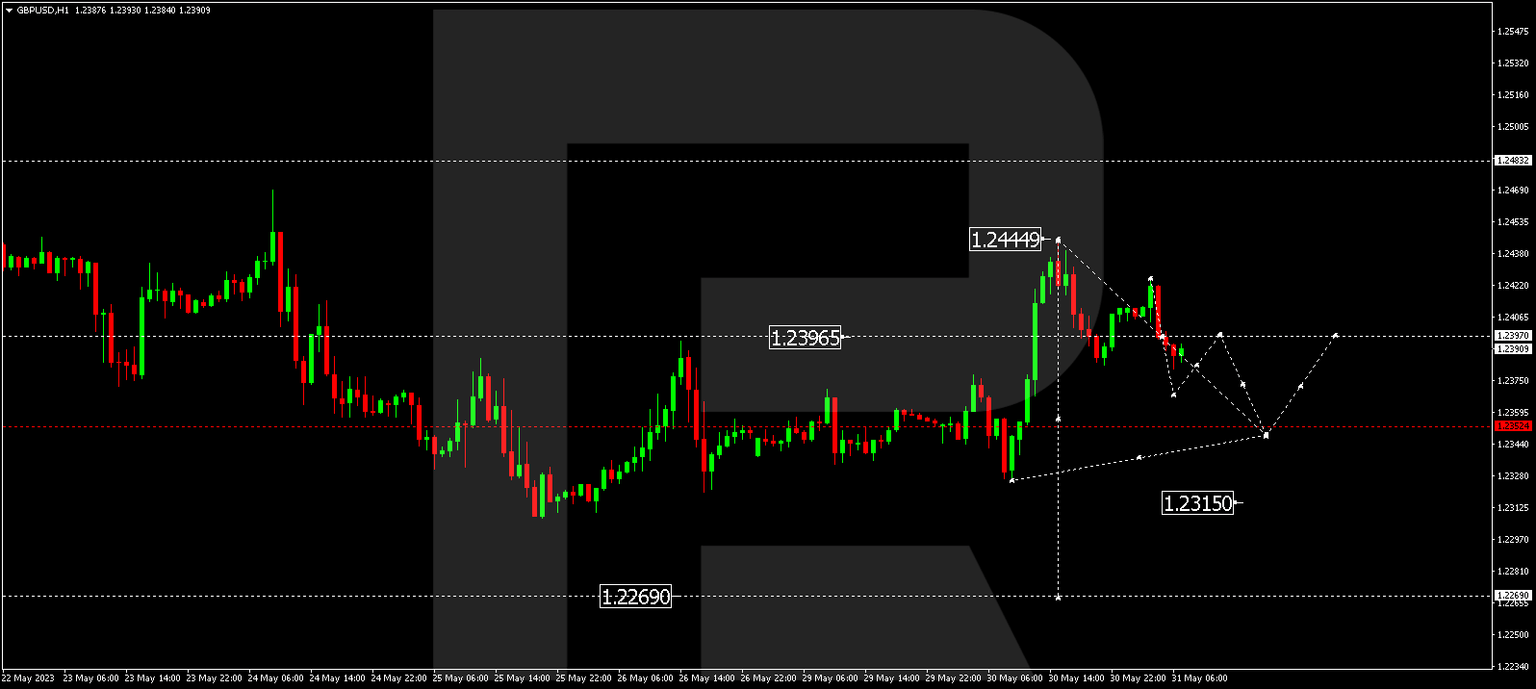
GBP/USD, “Great Britain Pound vs US Dollar”
The currency pair has completed a wave of correction to the 1.2444 level. Today the market is forming a structure of a declining wave to the 1.2353 level. Next, growth to 1.2390 is possible, followed by a decline to 1.2270.
USD/JPY, “US Dollar vs Japanese Yen”
The currency pair is forming a wave of correction to the 139.30 level. Today this correction is expected to be over and followed by a wave of growth to the 140.40 level. A breakout of this level upwards could open the potential for a wave to 141.63. If the 139.30 level breaks downwards, it could open up the potential for a declining wave to 137.20.
USD/CHF, “US Dollar vs Swiss Franc”
The currency pair continues developing a consolidation range around the 0.9064 level. A rise is possible to the 0.9111 level, followed by a decline to 0.9020. After the price reaches this level, a wave of growth to the 0.9170 level could start. A breakout of this level upwards will open the potential for growth to 0.9220.
AUD/USD, “Australian Dollar vs US Dollar”
The currency pair is forming a consolidation range around the 0.6525 level. Today the market has broken this level down and continues developing a wave of decline to 0.6464 with the prospect for wave continuation to 0.6450.
Brent
Brent completed a wave of correction to the 73.33 level. A consolidation range above this level is expected to form. With an upside exit, a new wave of growth to 76.07 could follow. This is the first target. Next, a wave of growth by the trend to 78.10 is expected.
XAU/USD, “Gold vs US Dollar”
Gold completed a wave of decline to the 1932.55 level. Today the market continues developing a correction to the 1968.00 level which could be followed by a decline to 1916.16.
S&P 500
The stock index completed a growth structure to the 4237.0 level. Today a link of decline to 4187.0 is being formed. Growth to 4267.5 is expected next. After the price reaches this level, a wave of decline to 4049.0 could start.
Author

RoboForex Team
RoboForex
RoboForex Team is a group of professional financial experts with high experience on financial market, whose main purpose is to provide traders with quality and up-to-date market information.

























